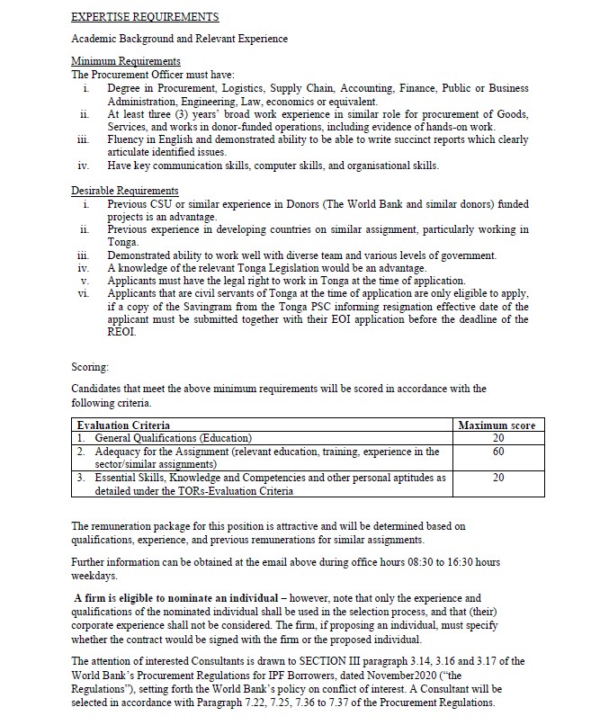
April 16, 2025 By hpalu Time to read less than 1 minute Log in to post comments FILE Procurement Officer (PO)